Analisis Kewangan F&n 2019

Fraser Neave Holdings Bhd Annual Report 2019
Analisis Penyata Kewangan Antarabangsa Pdf

F Nhb Recorded Resilient Full Year Performance Amidst Covid 19 Fraser Neave
2

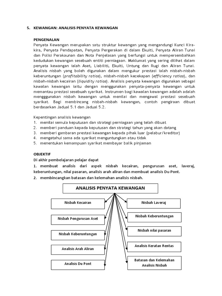
Chapter 3 Pengurusan Kewangan

F N Annual Report 2016
2
Bab5 Analisis Penyata Kewangan Pdf

F N Annual Report 2017

Download Our Annual Report 2020 Fraser Neave Holdings Bhd Annual Report 2020

Ambil Tahu 10 Perkara Ini Sebelum Nak Melabur Saham F N Edisi 2021 The Kapital
0 Response to "Analisis Kewangan F&n 2019"
Post a Comment